Будьте начеку: какие улицы Киева сегодня останутся без света

Какие улицы Киева сегодня останутся без света. Фото: pixabay

Какие улицы Киева сегодня останутся без света. Фото: pixabay

Коммуналка
26 ноября 2020 11:15

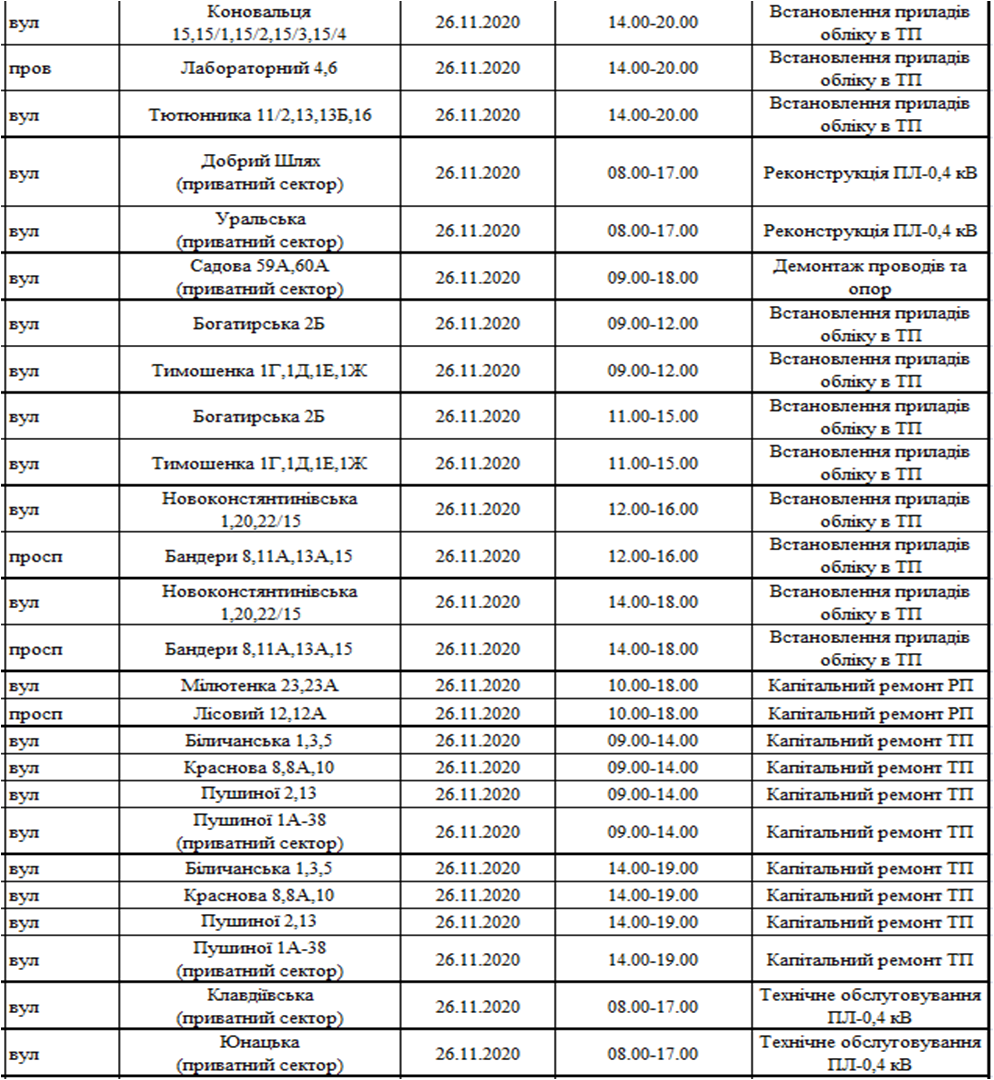
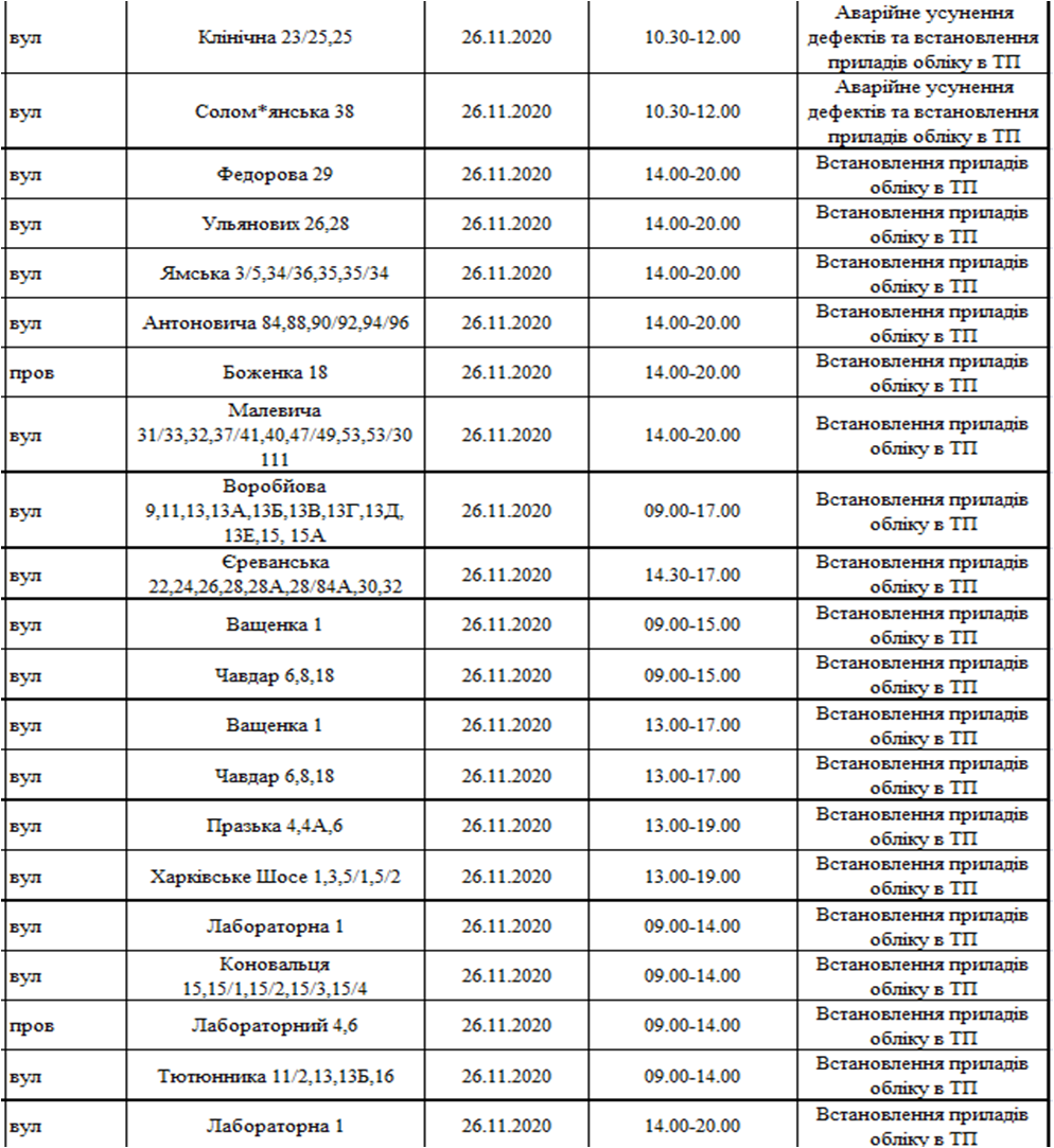
Сегодня, 26 ноября, плановое отключение света частично коснется всех районов столицы. 

Свет выключат более чем на 40 улицах Киева. Большая часть из них осталась без света с самого утра. Кому-то отключили электричество в 08:00, кому-то - в 09:00, а кому-то - в 10:30. В некоторых домах закончат работы достаточно оперативно, за пару часов. Но на нескольких адресах отключение света продлится аж до вечера. По плану, к 20:00 электроснабжение должны везде восстановить. Об этом сообщается на сайте ДТЭК. 

С более детальной информацией касательно отключения света можно ознакомиться в таблице ниже.  

Отключение света 26.11. Фото: ДТЭКОтключение света 26.11. Фото: ДТЭК

Отключение света 26.11. Фото: ДТЭКОтключение света 26.11. Фото: ДТЭК

Отключение света 26.11. Фото: ДТЭКОтключение света 26.11. Фото: ДТЭК

Отключение света 26.11. Фото: ДТЭКОтключение света 26.11. Фото: ДТЭК

Ранее Vgorode писал, что вчера, 25 ноября, свет отключали на более полусотни улицах Киева. 

Это чат – пиши и читай 👇
Ого! ты доскролил до нашего чатбота 😏
Теперь у тебя есть возможность настроить его под себя и узнавать важный контент первым, чтобы рассказывать друзьям
Только почта, только хардкор 🤘
Мы в соцсетях