Готовьте свечи: на каких улицах Киева сегодня отключат свет

На каких улицах Киева сегодня отключат свет. Фото: Vgorode

На каких улицах Киева сегодня отключат свет. Фото: Vgorode

Коммуналка
07 декабря 2020 08:00

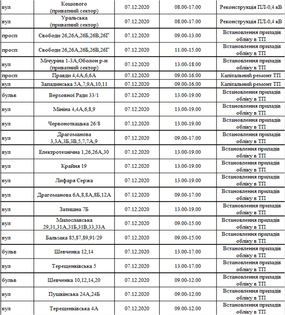
В понедельник, 7 декабря, плановое отключение электричества коснется всех районов столицы.

На большинстве улиц свет пропадет с 8-9:00. В некоторых домах вырубят электричество тоже утром, но чуть позже, к 10-11:00. А кто-то все же сможет выпить первую утреннюю чашечку кофе на этой неделе, смотря утренние передачи по телевизору, так как на ряде улиц свет отключат уже днем. Где-то восстановят обычный график электроснабжения днем, но некоторым придется потерпеть до темного времени суток. В целом, к 19:00 планируют включить электрику снова. Об этом сообщается на официальном сайте ДТЭК. 

С более детальным планом выключения света можно ознакомиться в таблице ниже. 

Отключение света в Киеве. Фото: ДТЭКОтключение света в Киеве. Фото: ДТЭК

Отключение света в Киеве. Фото: ДТЭКОтключение света в Киеве. Фото: ДТЭК

Отключение света в Киеве. Фото: ДТЭКОтключение света в Киеве. Фото: ДТЭК

28 ноября Vgorode писал, что в восьми районах Киева прошло плановое отключение света. 

Это чат – пиши и читай 👇
Ого! ты доскролил до нашего чатбота 😏
Теперь у тебя есть возможность настроить его под себя и узнавать важный контент первым, чтобы рассказывать друзьям
Только почта, только хардкор 🤘
Мы в соцсетях