Будьте в курсе: где в Киеве сегодня отключат свет

где в Киеве сегодня отключат свет. Фото: pixabay

где в Киеве сегодня отключат свет. Фото: pixabay

Коммуналка
08 декабря 2020 08:00

Во вторник, 8 декабря, плановое отключение электричества коснется 9 районов столицы.

Сегодня собираются временно выключать свет в Голосеевском, Дарницком, Деснянском, Днепровском, Оболонском, Печерском, Подольском, Шевченквском и Святошинскогм районах. Об этом сообщается на сайте ДТЭК.   

На большинстве улиц свет пропадет с 9:00, но в нескольких локациях выключат его еще в 8:00. В некоторых домах вырубят электричество тоже утром, но чуть позже, к 10-11:00. А кто-то все же сможет провести утро при свете, так как на ряде улиц электрику отключат уже днем. Где-то восстановят обычный график электроснабжения днем, но некоторым адресам придется потерпеть до темного времени суток. В целом, к 19:00 планируют включить электрику снова. 

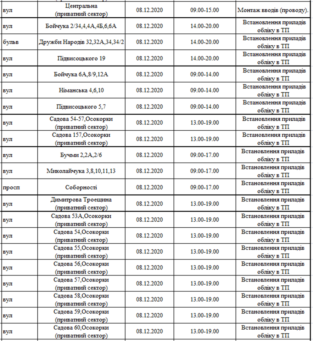
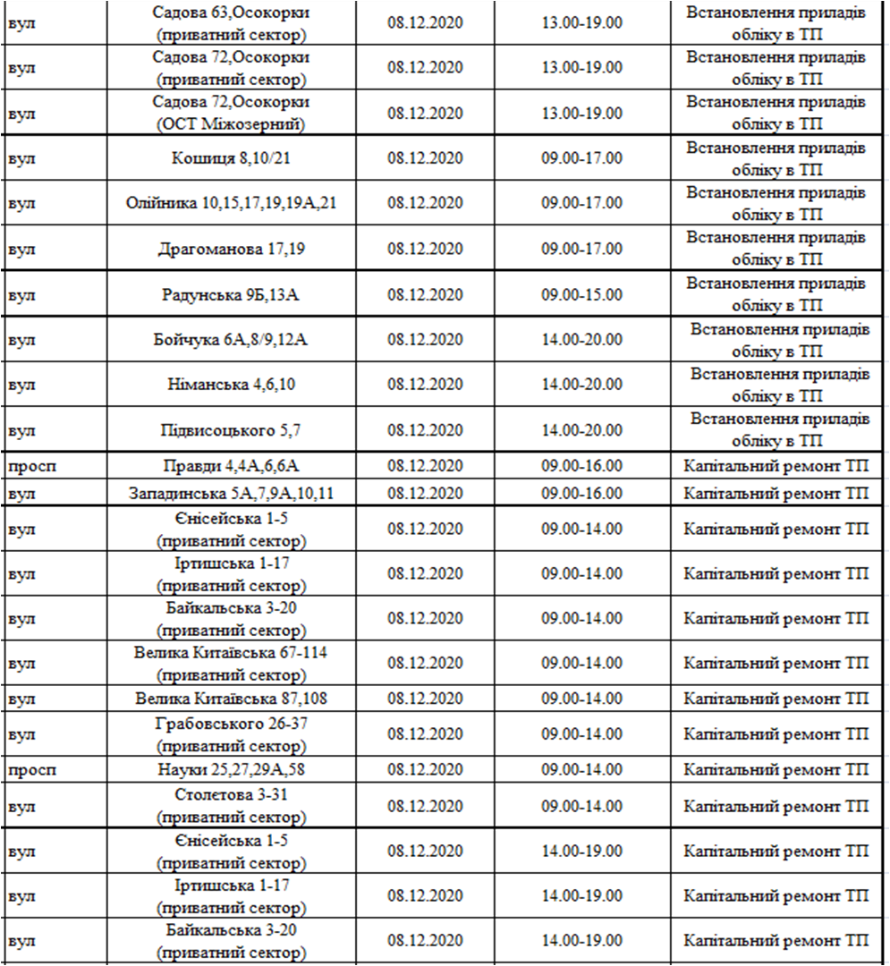
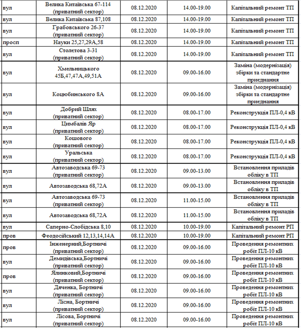
С более детальным планом выключения света можно ознакомиться в таблице ниже. 

Отключение света в Киеве. Фото: ДТЭКОтключение света в Киеве. Фото: ДТЭК

Отключение света в Киеве. Фото: ДТЭКОтключение света в Киеве. Фото: ДТЭК

Отключение света в Киеве. Фото: ДТЭКОтключение света в Киеве. Фото: ДТЭК

Отключение света в Киеве. Фото: ДТЭКОтключение света в Киеве. Фото: ДТЭК

Отключение света в Киеве. Фото: ДТЭКОтключение света в Киеве. Фото: ДТЭК

Вчера, 7 ноября, плановое отключение электричества коснулось всех районов Киева. 

ТОП РАЗДЕЛА
Это чат – пиши и читай 👇
Ого! ты доскролил до нашего чатбота 😏
Теперь у тебя есть возможность настроить его под себя и узнавать важный контент первым, чтобы рассказывать друзьям
Только почта, только хардкор 🤘
Мы в соцсетях