Будьте в курсе: где в Киеве сегодня отключат свет

Отключение света в Киеве. Фото: Vgorode

Отключение света в Киеве. Фото: Vgorode

Коммуналка
19 декабря 2020 10:30

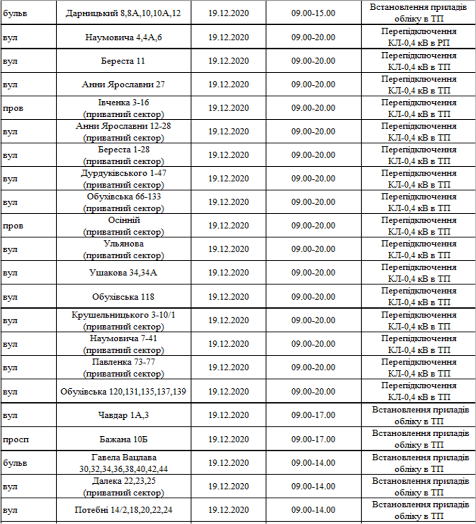
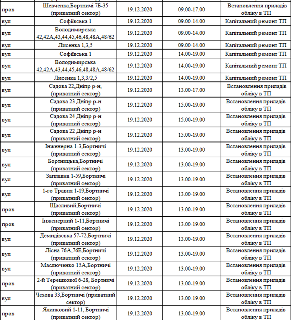
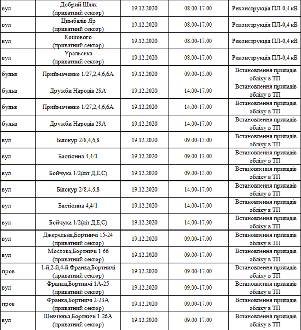
В субботу, 19 декабря, запланировано частичное отключение электричества в Голосеевском, Дарницком, Днепровском, Печерском, Святошинском, Соломенском и Шевченковском районах столицы. Об этом сообщается на сайте ДТЭК.   

Утренние отключения света стандартно начались с 8:00. В большем числе домов традиционно отключили электричество в 9:00, но на некоторых локациях вырубят электрику в 10 и 11:00. На трех адресах отключат свет в 12:00, на 30 - в 13:00, 14:00 и в 15:00. Большинство локаций пробудут без света до темного времени суток. Но к 20:00 электроснабжение обещают восстановить на всех адресах. 

С более детальным планом выключения электрики можно ознакомиться в таблице ниже. 

Отключение света в Киеве. Фото: ДТЭКОтключение света в Киеве. Фото: ДТЭК

Отключение света в Киеве. Фото: ДТЭКОтключение света в Киеве. Фото: ДТЭК

Отключение света в Киеве. Фото: ДТЭКОтключение света в Киеве. Фото: ДТЭК

Отключение света в Киеве. Фото: ДТЭКОтключение света в Киеве. Фото: ДТЭК

Отключение света в Киеве. Фото: ДТЭКОтключение света в Киеве. Фото: ДТЭК
Это чат – пиши и читай 👇
Ого! ты доскролил до нашего чатбота 😏
Теперь у тебя есть возможность настроить его под себя и узнавать важный контент первым, чтобы рассказывать друзьям
Только почта, только хардкор 🤘
Мы в соцсетях