Готовьте свечи: где в Киеве сегодня отключат свет

Где в Киеве сегодня отключат свет. Фото: Vgorode

Где в Киеве сегодня отключат свет. Фото: Vgorode

Коммуналка
28 декабря 2020 09:10

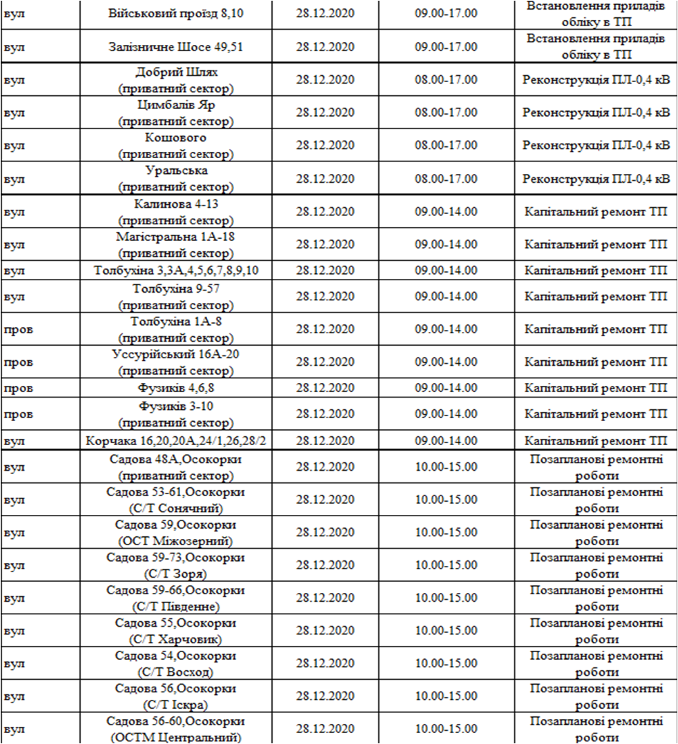
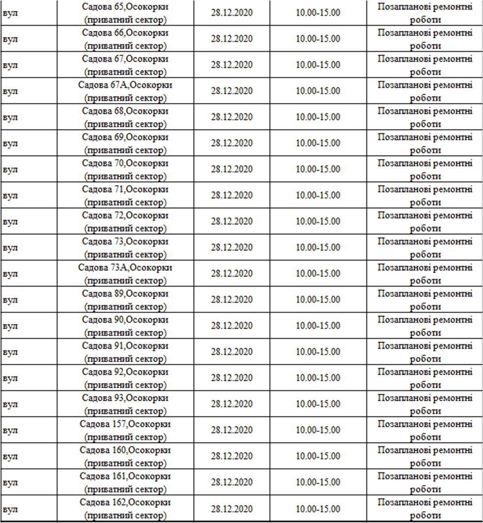
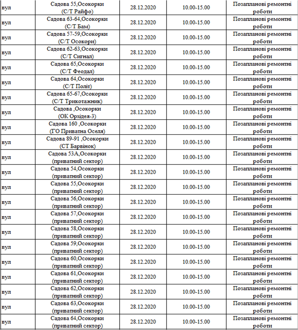
В понедельник, 28 декабря, запланировано частичное отключение электричества в Голосеевском, Дарницком, Днепровском, Соломенском и Шевченковском районах столицы. Об этом сообщается на сайте ДТЭК.   

Еще в 8:00 сегодня отключили электричество в четырех домах. А по большинстве адресов вырубят свет в районе 9:00 - 10:00, но на некоторых локациях отключение электрики запланировали на 13-14:00. Восстановят электроснабжение в большей части домов к 15:00, но некоторым придется потерпеть чуть дольше. К ужину, в 19:00 поступление электричества обещают везде возобновить. 

С более детальным планом выключения света можно ознакомиться в таблице ниже. 

Отключение света в Киеве. Фото: ДТЭКОтключение света в Киеве. Фото: ДТЭК

Отключение света в Киеве. Фото: ДТЭКОтключение света в Киеве. Фото: ДТЭК

Отключение света в Киеве. Фото: ДТЭКОтключение света в Киеве. Фото: ДТЭК

Отключение света в Киеве. Фото: ДТЭКОтключение света в Киеве. Фото: ДТЭК

Отключение света в Киеве. Фото: ДТЭКОтключение света в Киеве. Фото: ДТЭК
Это чат – пиши и читай 👇
Ого! ты доскролил до нашего чатбота 😏
Теперь у тебя есть возможность настроить его под себя и узнавать важный контент первым, чтобы рассказывать друзьям
Только почта, только хардкор 🤘
Мы в соцсетях