Держите фонарик начеку: на каких улицах столицы сегодня отключат свет

На каких улицах столицы сегодня отключат свет. Фото: pixabay

На каких улицах столицы сегодня отключат свет. Фото: pixabay

Коммуналка
09 декабря 2020 08:51

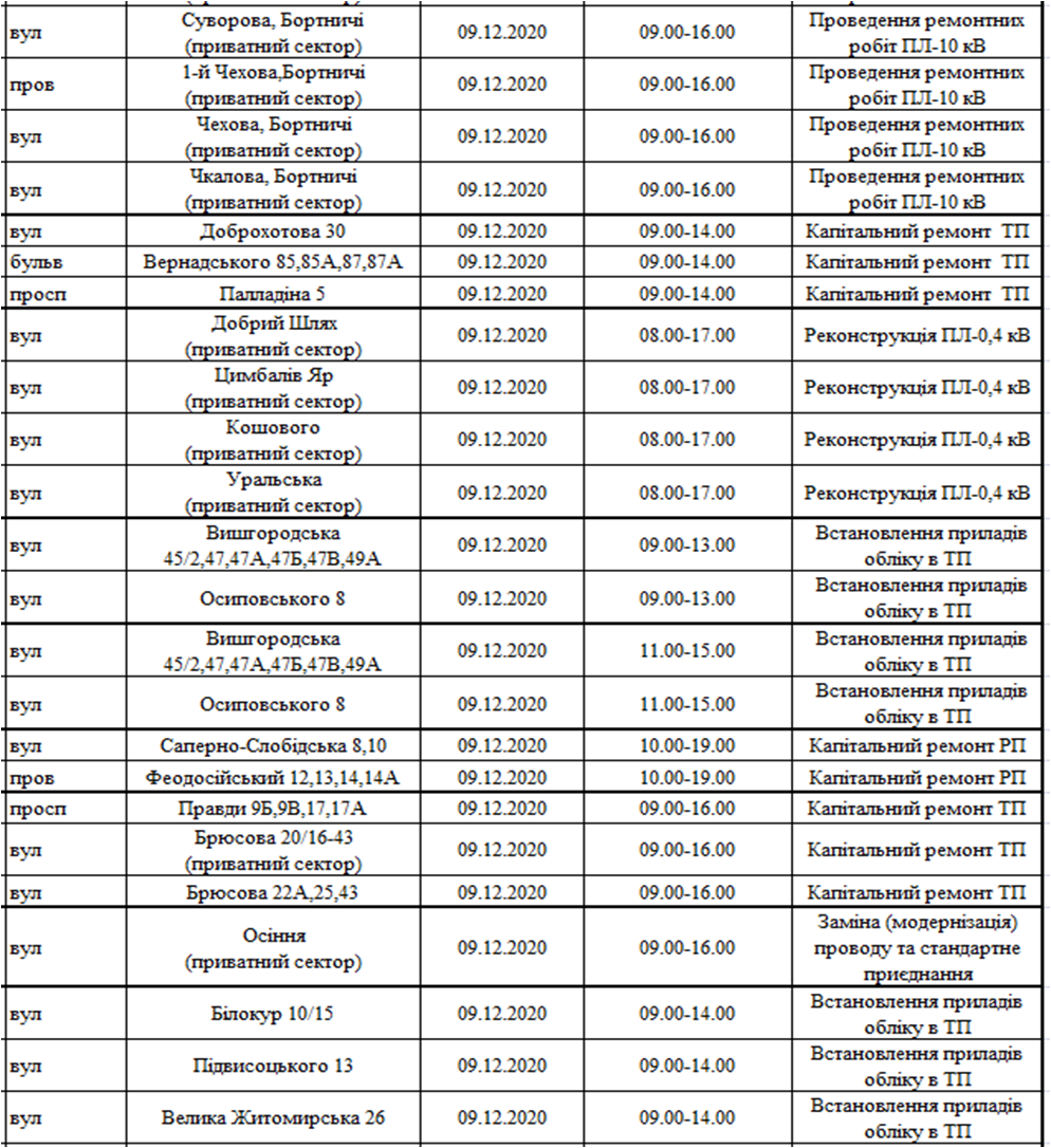
В среду, 9 декабря, запланировано частичное отключение электричества в 8 районах столицы.

Сегодня собираются временно выключать свет в Голосеевском, Дарницком, Днепровском, Печерском, Подольском, Святошинском и Соломенском районах. Об этом сообщается на сайте ДТЭК.   

На большинстве улиц свет пропадет с 9:00, но на нескольких локациях электричество отключили в 8:00. В некоторых домах вырубят свет уже днем, в 13/15:00. Где-то восстановят обычный график электроснабжения в светлое время суток, с 13:00 до 16:00, но кому-то сегодня нужно будет пару часиков походить по дому с фонариком. В целом, к 20:00 планируют везде восстановить электроснабжение. 

С более детальным планом выключения света можно ознакомиться в таблице ниже. 

Плановое отключение света в Киеве. Фото: ДТЭКПлановое отключение света в Киеве. Фото: ДТЭК

Плановое отключение света в Киеве. Фото: ДТЭКПлановое отключение света в Киеве. Фото: ДТЭК

Плановое отключение света в Киеве. Фото: ДТЭКПлановое отключение света в Киеве. Фото: ДТЭК

Плановое отключение света в Киеве. Фото: ДТЭКПлановое отключение света в Киеве. Фото: ДТЭК

Vgorode писал, что вчера плановое отключение света коснулось всех районов Киева, кроме Соломенского. 

Это чат – пиши и читай 👇
Ого! ты доскролил до нашего чатбота 😏
Теперь у тебя есть возможность настроить его под себя и узнавать важный контент первым, чтобы рассказывать друзьям
Только почта, только хардкор 🤘
Мы в соцсетях